Trái phiếu (Bond) là gì?

Trái phiếu là gì? Các tổ chức nào được phép phát hành trái phiếu? Sự tác động của lợi suất trái phiếu lên thị trường tiền tệ tài chính ra sao? Đó sẽ là nội dung loạt bài viết về Trái phiếu – Bond.
Trái phiếu (Bond) là một trong những công cụ chứng khoán phổ biến nhất trên thế giới. Tính đến năm 2014, thị trường trái phiếu toàn thế giới có giá trị khoảng 90 nghìn tỷ USD, với 39% thuộc về thị trường Mỹ. Trái phiếu được xem như là một hình thức tạo lợi nhuận ổn định, đa dạng hóa danh mục và mang lại nhiều lợi ích đầu tư khác.
- Trái phiếu là gì?
- Cách thức hoạt động của Trái phiếu:
- Đặc điểm của Trái phiếu:
- Các loại Trái phiếu phổ biến
1. Trái phiếu là gì?
Trái phiếu về bản chất là một khoản vay có kỳ hạn, trong đó người mua trái phiếu (trái chủ – bondholder) cho bên phát hành trái phiếu (bond issuer) vay.
Người phát hành có thể là doanh nghiệp (trái phiếu trong trường hợp này được gọi là trái phiếu doanh nghiệp – Corporate bond), một tổ chức chính quyền như Kho bạc nhà nước (trong trường hợp này gọi là trái phiếu kho bạc – Treasury bond), hay chính phủ (trong trường hợp này gọi là công trái hoặc trái phiếu chính phủ – Government bond).
2. Cách thức hoạt động của Trái phiếu:
Trái phiếu thông thường trả lãi định kỳ như một khoản vay và hoàn trả vốn gốc vào một thời điểm xác định gọi là ngày đáo hạn.
Ví dụ:
Doanh nghiệp DON TO muốn xây dựng một học viện bóng đá mới trị giá 2 triệu USD và quyết định chào bán trái phiếu để tài trợ cho học viện. Doanh nghiệp có thể quyết định bán cho nhà đầu tư 2000 trái phiếu giá trị 1,000 USD / trái phiếu. Doanh nghiệp, lúc này được gọi là nhà phát hành, xác định mức lãi suất hàng năm và thời gian thanh toán vốn gốc 2 triệu USD. Nhà phát hành sau đó quyết định bán trái phiếu kỳ hạn 5 năm với lãi suất hàng năm 12%. Qua mỗi năm, doanh nghiệp trả 120 USD tiền lãi (1,000 * 12%) cho trái chủ. Đến cuối năm thứ 5, trái phiếu đáo hạn và doanh nghiệp hoàn trả mệnh giá 1,000 đô cho mỗi trái chủ.
Minh họa:
Lưu ý: đến cuối năm thứ 5, trái chủ nhận được 1,120 USD (= 120 tiền lãi + 1,000 tiền gốc)
Một góc nhìn khác về Trái phiếu này: bạn có thể coi nó như một khoản đầu tư với lợi suất 12% / năm. Qua ví dụ trên, ta có thể thấy có 4 yếu tố cơ bản hình thành nên một Trái phiếu:
Mệnh giá (face value): đây được coi như số gốc để tính toán lãi phải trả hàng kỳ, cũng là con số bên phát hành phải trả khi trái phiếu đáo hạn. Trong ví dụ trên, mệnh giá mỗi trái phiếu là 1,000 USD.
Thời gian đáo hạn (time to maturity): khoảng thời gian từ ngày phát hành đến ngày người phát hành hoàn trả vốn lần cuối. Trong ví dụ trên, thời gian đáo hạn là 5 năm.
Trái tức (coupon rate): lãi suất để tính ra số lãi phải trả hàng kỳ. Ở ví dụ trên là 12% / năm.
Kỳ trả lãi: khoảng thời gian người phát hành trả lãi cho người nắm giữ trái phiếu (thường là 1 năm một lần (annually) hoặc hai lần (semi-annually). Trong ví dụ trên kỳ trả lãi là 1 năm.
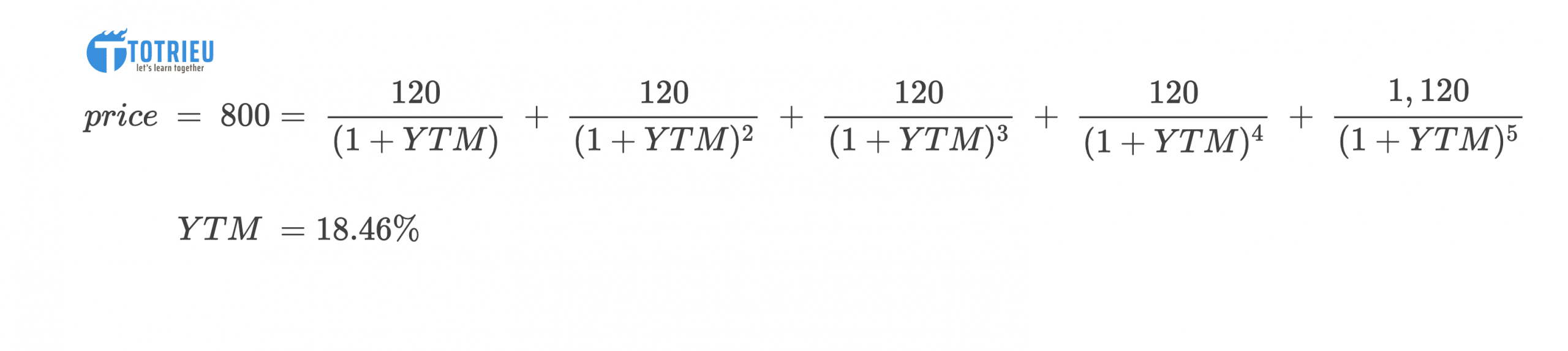
Tuy vậy, mỗi doanh nghiệp có độ rủi ro tiềm ẩn khác nhau về khả năng có thể phá sản hoặc mất khả năng thanh toán khoản vay (rủi ro vỡ nợ – default risk). Giả dụ trong tình huống trên, bạn đánh giá doanh nghiệp H sẽ có rủi ro phá sản cao trong 5 năm tới vì một lý do nào đó. Do đó, bạn sẽ không hẳn muốn mua Trái phiếu đó với giá bằng mệnh giá (1,000 USD), mà chỉ cân nhắc mua nó với giá < 1,000 USD, giả sử trong tình huống này 2 bên đạt được thỏa thuận giá là 800 USD.
Đây chính là yếu tố thứ 5 của trái phiếu:
Giá phát hành (issued price): là giá bán ra của trái phiếu vào thời điểm phát hành, thường được tính theo tỷ lệ phần trăm (%) của mệnh giá. Tùy theo tình hình của thị trường và của người phát hành, giá phát hành sẽ được xác định một cách thích hợp.
Có thể phân biệt 3 trường hợp: giá phát hành bằng mệnh giá (ngang giá – par bond), giá phát hành dưới mệnh giá (giá chiết khấu – discount bond) và giá phát hành trên mệnh giá (giá gia tăng – premium bond).
Lúc này, dòng tiền mới của Trái chủ:
Bạn có thể thấy, lợi tức thực sự lúc này không phải 12% nữa, mà phải là là một con số cao hơn. Lợi tức này được gọi là lợi tức đáo hạn (Yield to maturity – YTM). Đó là lợi tức mà khi bạn chiết khấu toàn bộ dòng tiền theo con số này, bạn sẽ nhận được giá thị trường của trái phiếu. Hay nói cách khác:

Ý nghĩa: bạn có thể coi như đây là một khoản đầu tư với lợi suất hàng năm tương đương 18.46%.
Lưu ý: trên thực tế, để định giá Trái phiếu, sau khi đánh giá rủi ro của công ty, người ta sẽ xác định YTM như là lợi suất mong muốn (expected rate of return), sử dụng nó để chiết khấu dòng tiền và tính ra giá trị của Trái phiếu.
3. Đặc điểm của Trái phiếu:
Thu nhập của trái phiếu là tiền lãi, là khoản thu cố định thường kỳ, và không phụ thuộc vào kết quả sản xuất kinh doanh của công ty.
Trái phiếu là chứng khoán nợ, vì vậy khi Công ty bị giải thể hoặc phá sản thì trước hết Công ty phải có nghĩa vụ thanh toán cho các Trái chủ (bondholder) trước, sau đó mới chia cho các Cổ đông (shareholder).
Với những đặc điểm trên, trái phiếu có tính ổn định và chứa đựng ít rủi ro hơn cổ phiếu. Vì vậy, trái phiếu là loại chứng khoán được các nhà đầu tư ưa chuộng.
4. Các loại Trái phiếu phổ biến:
Fixed rate bond: trái phiếu mà lợi tức được xác định theo một tỷ lệ phần trăm (%) cố định tính theo mệnh giá
Floating rate bond: trái phiếu mà lợi tức trả trong các kỳ khác nhau và được tính theo một lãi suất tham chiếu (LIBOR, Euribor).
Zero-coupon bond: trái phiếu không trả lãi, thường được phát hành với giá chiết khấu rất sâu so với mệnh giá. Khoản tiền có giá trị bằng mệnh giá được trả khi đáo hạn.
High-yield bond (trái phiếu rác – junk bond): trái phiếu có mức độ uy tín thấp hơn các tiêu chuẩn thông thường. Các trái phiếu này thường tiềm ẩn nguy cơ vỡ nợ và thường chào bán với YTM cao.
Convertible bond: trái phiếu có khả năng chuyển đổi thành cổ phiếu công ty theo một tỉ lệ công bố trước và vào một khoảng thời gian xác định trước
Assets-backed securities (ABS): trái phiếu được phát hành trên cơ sở có sự đảm bảo bằng một tài sản hoặc một dòng tiền nào đó từ một nhóm tài sản gốc của người phát hành.
Ví dụ: mortgage-backed securities (MBS – trái phiếu đảm bảo bằng tài sản thế chấp), collateralized mortgage obligations (CMO – trái phiếu đảm bảo bằng tài sản cầm cố ) và collateralized debt obligations (CDO – trái phiếu thế chấp bằng nghĩa vụ nợ). Đây cũng là nguyên nhân chính gây nên bong bóng bất động sản và suy thoái kinh tế toàn cầu năm 2008, bắt đầu từ Mỹ.
Phần thứ nhất, chúng ta đã cùng tìm hiểu khái niệm đầu tiên: Trái phiếu là gì. Trong bài viết tiếp theo về Trái phiếu, chúng ta sẽ cùng tìm hiểu về Cách định giá Trái phiếu.
Chúc các bạn giao dịch thành công!
Tác giả
Tô Triều







