Dãy số Fibonacci và mối liên hệ với Tỷ lệ vàng được ứng dụng rất nhiều trong thị trường Forex. Trong bài viết này, Chúng ta sẽ cùng tìm hiểu về Fibonacci, Fibonacci Retracement và Fibonacci Extension.
Fibonacci được ứng dụng rất nhiều từ Toán học, đến Mỹ thuật, và kể cả trong Kiến trúc. Với Forex, Fibonacci sẽ được ứng dụng theo 02 cách: Fibonacci Retracement và Fibonacci Extension.
Trước tiên chúng ta sẽ tìm hiểu qua một chút về Fibonacci.
1. Fibonacci là ai?
Leonardo Pisano Bogollo (khoảng 1170 – khoảng 1250), còn được biết đến với tên Leonardo của Pisa, Leonardo Pisano, Leonardo Bonacci, Leonardo Fibonacci, hay, phổ biến nhất, chỉ là Fibonacci, là một nhà toán học người Ý, được một số người xem là “nhà toán học tài ba nhất thời Trung Cổ”.
Leonardo Fibonacci được biết đến như một người đam mê siêu cực kỳ cuồng nhiệt.
Ông đã có một khoảnh khắc “Aha!” xuất thần Khi ông phát hiện ra một loạt các con số đơn giản tạo ra các tỷ lệ mô tả tỷ lệ tự nhiên của những thứ trong vũ trụ.
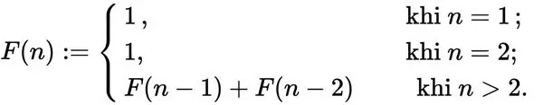
2. Quy tắc hình thành chuỗi số Fibonacci
Dãy Fibonacci là dãy vô hạn các số tự nhiên bắt đầu bằng hai phần tử 0 và 1 hoặc 1 và 1, các phần tử sau đó được thiết lập theo quy tắc mỗi phần tử luôn bằng tổng hai phần tử trước nó. Công thức truy hồi của dãy Fibonacci là:

Các con số đầu tiên của chuỗi Fibonacci: 0, 1, 1, 2, 3, 5, 8, 13, 21, 34, 55, 89, 144…
Các con số này được tính như sau:
Số đầu tiên bắt đầu bằng 0
Số thứ hai bắt đầu bằng 1
Số thứ ba = Số đầu tiên + Số thứ 2 = 0 + 1 = 1
Số thứ tư = Số thứ 2 + Số thứ 3 = 1 + 1 = 2
Số thứ năm = Số thứ 3 + Số thứ 4 = 1 + 2 = 3.
Số thứ sáu = Số thứ 4 + Số thứ 5 = 2 + 3 = 5….
3. Quan hệ với Tỷ lệ vàng φ (phi)
Tỷ lệ vàng φ (phi), được đinh nghĩa là tỷ số khi chia đoạn thẳng thành hai phần sao cho tỷ lệ giữa cả đoạn ban đầu với đoạn lớn hơn bằng tỷ số giữa đoạn lớn và đoạn nhỏ.

Có thể chứng minh rằng nếu quy độ dài đoạn lớn về đơn vị thì tỷ lệ này là nghiệm dương của phương trình:

Sau một vài số đầu tiên trong chuỗi Fibonacci, nếu bạn lấy một số bất kỳ chia cho số ngay sau nó, bạn sẽ nhận được 0.618. Ví dụ, 34 chia cho 55 bằng 0.618.
Trong 03 số liền kề thuộc dãy Fibonacci, Ví dụ: 34, 55, 89 nếu bạn lấy số đầu tiên chia cho số thứ 3, chính là 34/89 bạn sẽ được 0.382.
Các con số trong dãy này cứ liên tục lặp lại trong suốt dãy như vậy.
Để hiểu rõ hơn:
Giờ chúng ta sẽ tìm số tiếp theo của Dãy Fibonacci đứng sau số 89, chính là = 55+89 = 144.
Ta cũng thấy tiếp tục rằng 55/89 = 0.618 và 55/144 = 0.382.
Thật tuyệt vời phải không?
Các tỷ lệ này được gọi là “trung bình vàng”. Ok, chúng ta chỉ hiểu đến đây thôi, bạn không cần hiểu quá nhiều.
4. Các tỷ lệ Fibonacci bắt buộc phải biết trong Forex
Bạn sẽ không thực sự cần phải biết cách tính tất cả các tỷ lệ này. Các nền tảng giao dịch Forex của bạn như MetaTrader 4 sẽ làm tất cả các công việc tính toán cho bạn.
Tuy nhiên, bạn vẫn cần phải biết các lý thuyết cơ bản đằng sau các tỷ lệ vàng này để có thể ứng dụng hoàn hảo trong phân tích biểu đồ Forex và hỗ trợ tìm kiếm điểm vào lệnh phù hợp, hiệu quả.
4.1. Các Mức Fibonacci Retracement:
Các Mức Fibonacci Retracement: 0.236, 0.382, 0.500, 0.618, 0.764
Các nhà giao dịch sử dụng các mức Fibonacci Retracement như các vùng hỗ trợ và kháng cự tiềm năng.

Mục đích sử dụng các Mức Fibonacci Retracement của các Nhà đầu tư:
- Xác định điểm vào lệnh
- Xác định điểm Chốt lời
- Xác định điểm Stop Loss (Cut lỗ)
- Xác định vùng Kháng cự và Hỗ trợ mạnh.
Hầu hết các nhà giao dịch sử dụng các mức Fibonacci Retracement với các mục đích trên, nên Tỷ lệ vàng này có xu hướng tương tự như Lời tiên trị tự đúng.
Đọc thêm: Xu hướng thị trường và Hiệu ứng lời tiên tri tự đúng trong giao dịch.
4.2. Mức mở rộng Fibonacci Extension
Các mức Fibonacci Extension: 0, 0,382, 0,618, 1.000, 1,382, 1,618
Các nhà giao dịch sử dụng các mức Fibonacci Extension (Fibonacci Mở rộng) như các mức chốt lời – Take Profit.
Fibonacci Extension cũng được nhiều nhà giao dịch đang theo dõi các mức này để đặt lệnh mua và bán, chốt lời, công cụ này có xu hướng diễn ra khá chính xác nhưng nó không hoàn toàn đúng và cũng không có xu hướng giống như Hiệu ứng lời tiên tri tự đúng.
Hầu hết các nến tảng giao dịch hoặc các Ứng dụng phân tích biểu đồ Forex đều hỗ trợ vẽ và xác định các Mức Fibonacci Retracement và Fibonacci Extension.
Để áp dụng mức Fibonacci cho biểu đồ của bạn, bạn sẽ cần phải xác định các điểm Swing High và Swing Low.

Xác định Swing High:
- Là một cụm thường có 05 nến.
- Nến ở giữa (Nến 3) gần như cao nhất và có râu dài.
- 02 nến ở bên trái tạo thành 02 mức cao thấp khác nhau với nến Ngoài cùng bên trái thấp hơn nến kế sau nó(Nến đầu tiên) sau đó đến nến thứ 2.
- 02 nến ở bên phải tạo thành 02 mức cao thấp với nến Ngoài cùng bên phải (Nến thứ 5) thấp hơn nến trước nó. Sau đó đến nến thứ 4.
Xác định Swing Low:
- Là một cụm thường có 05 nến.
- Nến ở giữa (Nến 3) gần như thấp nhất và có râu dài.
- 02 nến ở bên trái tạo thành 02 mức cao thấp khác nhau với nến Ngoài cùng bên trái cao (Nến đầu tiên) hơn nến đứng ngay sau nó.
- 02 nến ở bên phải tạo thành 02 mức cao thấp với nến Ngoài cùng bên phải (Nến thứ 5) cao hơn nến trước nó. Sau đó đến nến thứ 4.
Trên đây là tất cả lý thuyết về Fibonacci trong giao dịch Forex. Chúng ta sẽ cùng tìm hiểu chi tiết cách ứng dụng Fibonacci Retracement và Fibonacci Extension trong các bài viết sau.
Các bạn nhớ đón đọc nhé!